
안녕하세요 Simon 입니다.
애플이 AI 쪽으로 많이 약하다는 평가가 항상 있는데 슬슬 시동을 거는듯 해보입니다. DeepPCR 이라고 신경망관련해서 기술 개선을 한 논문을 발표를 해서 가져와봤습니다. 애플 공식 홈페이지 머신러닝 리서처에도 올라갔습니다.

Introduction
오늘날의 머신러닝과 딥러닝 연구는 복잡성이 증가함에 따라 효율적인 계산 방법에 대한 필요성이 점점 더 커지고 있습니다. 이러한 맥락에서 최근 발표된 논문 "DeepPCR: Parallelizing Sequential Operations in Neural Networks"는 주목할 만합니다. 이 논문은 신경망에서 전통적으로 순차적으로 처리되던 연산을 병렬화하는 새로운 알고리즘, DeepPCR을 제안합니다.
Abstract
DeepPCR은 신경망의 순차적 연산을 방정식 시스템으로 해석하고, 이를 병렬 사이클릭 리덕션(Parallel Cyclic Reduction) 알고리즘을 통해 해결하는 방법을 사용합니다. 이 접근 방식은 계산 복잡도를 O(L)에서 O(log2 L)로 줄이며, 이는 대규모 신경망에서 중요한 속도 향상을 의미합니다. 실험을 통해 MLP, ResNets, 확산 모델 등에서 DeepPCR이 가져오는 속도 향상과 성능 개선을 입증하며, 이는 신경망의 훈련과 추론 속도를 혁신적으로 개선하는 데 중요한 기여를 합니다

DeepPCR 기술은 잠재 확산(latent diffusion)을 이용한 이미지 생성에서 기존 순차적 방법에 비해 현저한 속도 향상을 보여줍니다. 이 기술은 처리 시간을 로그 시간(O(log2 L))으로 단축시킴으로써, 순차적 접근 방식이 필요로 하는 시간(O(L))에 비해 상당한 개선을 달성합니다. 실험 결과, DeepPCR은 순차적 기준 대비 11.2배 빠른 이미지 생성을 가능하게 하며, 생성된 이미지의 품질도 유사하게 유지됩니다. 이는 대규모 신경망의 효율성을 크게 향상시킬 수 있는 중요한 발전입니다.

- DeepPCR 알고리즘 제안: DeepPCR은 신경망(NN) 훈련 및 추론에서 순차적 연산을 병렬화하는 새로운 알고리즘입니다. 이 알고리즘은 처리 복잡도를 O(L)에서 O(log2 L)로 줄입니다. 여기서 L은 시퀀스 길이를 의미합니다.
- MLP에서의 성능 분석: MLPs의 순방향 및 역방향 패스에서 DeepPCR의 속도 향상을 분석하며, 메모리 소비, 최종 솔루션의 정확성, 속도 향상 사이의 균형에 대해 논의합니다.
- 다양한 적용 사례 제시: DeepPCR을 사용하여 깊은 ResNet의 MNIST 훈련을 가속화하고, MNIST, CIFAR-10, CelebA 데이터셋에서 훈련된 확산 모델의 이미지 생성을 가속화합니다. DeepPCR로 얻은 결과는 순차적 방식과 비교할 수 있지만, 각각 최대 7배 및 11배 더 빠르게 결과를 얻을 수 있습니다.
Turning sequential operations into systems of equations
순차적 연산을 방정식 시스템으로 변환하는 DeepPCR의 접근 방식을 설명합니다. 연속적인 L 단계를 L개의 방정식 시스템으로 캐스팅하고, 이를 병렬로 해결하는 방법을 제시합니다. 각 단계는 zl = fl(zl-1) 형태로 표현되며, 이는 순방향 패스나 확산 메커니즘에서의 denoising 단계를 예로 들 수 있습니다. 이 시퀀스는 Markov 속성을 만족하고, Newton 방법을 사용하여 비선형성을 처리합니다. 이 방정식 시스템의 해결은 DeepPCR의 핵심이며, 이는 특정 구조를 가진 시스템을 효과적으로 병렬 처리하는 알고리즘으로 접근됩니다.

- 순차적 연산을 방정식으로 표현한 것으로, zl = fl(zl-1) 형태의 각 단계를 하나의 방정식 시스템으로 모아 표현합니다. 이는 시작 변수 z0와 연속적인 단계의 결과들 z1, z2, ..., zL을 포함합니다.

- Newton 방법을 이용한 비선형 시스템의 반복 해법입니다. 현재 추정치 z_k를 기반으로 시스템의 Jacobian을 사용하여 새로운 해 δz_k를 계산합니다. 이는 전체 시스템 F(z)의 선형화된 버전을 해결하는 과정입니다.
what is jacobian?
- 자코비안 계산은 Newton 방법을 사용하여 비선형 시스템을 반복적으로 해결하는 과정에서 수행됩니다. 현재 추정치 z_k를 기준으로 시스템의 자코비안 JF|zk를 계산하고, 이를 사용하여 새로운 해 δz_k를 찾습니다. 자코비안은 각 단계의 함수 fl에 대한 도함수(미분)를 포함하는 행렬이며, 전체 시스템의 민감도를 나타냅니다. 이는 전체 시퀀스 F(z)의 현재 추정치에서의 변화율을 표현하며, 이를 통해 시스템을 선형화하고 해를 찾는 데 사용됩니다.
-> 저도 처음 듣는 방법이라 GPT 에게 설명을 부탁해보았습니다.
- GPT answer : 자코비안을 이해하기 위해서는, 먼저 복잡한 문제를 조금씩 나누어 생각하는 것이 중요합니다. 예를 들어, 숫자 퍼즐을 푸는 것을 생각해보세요. 각 단계에서 어떻게 숫자가 변하는지 주의 깊게 살펴야 합니다. 자코비안은 이러한 변화를 측정하는 방법입니다. 즉, 퍼즐의 각 부분이 어떻게 서로 영향을 주는지를 수학적으로 설명해주는 도구입니다

- Newton 반복에 대한 구체적인 행렬 표현입니다. 이 수식은 시스템이 블록 대각선 구조(block bidiagonal structure)를 가지며, 이는 각 단계가 오직 인접한 변수들과만 관련 있다는 것을 나타냅니다. 이 구조를 이용하여 시스템을 효과적으로 병렬 해결합니다.
Parallel Cyclic Reduction for NNs
병렬 순환 축소(Parallel Cyclic Reduction, PCR)는 복잡한 시스템을 효율적으로 해결하는 혁신적인 방법입니다. 이 방법은 원래 삼대각 시스템을 병렬 처리하기 위해 고안되었으며, 본 연구에서는 블록 대각선 시스템에 적용되었습니다. PCR의 핵심은 시스템의 방정식을 결합하여 차원을 줄이는 것이며, 이 과정을 반복하여 각 변수에 대한 단일 시스템을 만들어 해결합니다. 이 접근법은 시스템을 빠르게 해결할 수 있도록 도와주며, 특히 대규모 시스템에 효과적입니다.

- (4): 인접한 두 변수 δzl−1과 δzl 간의 관계를 설정합니다. 이는 시스템의 초기 상태를 나타내며, 각 변수는 이전 단계의 변수에 의존합니다.
- (5): PCR의 첫 번째 단계로, 이전 방정식을 현재 방정식에 대입하여 새로운 방정식을 생성합니다. 이 과정은 시스템을 두 개의 부시스템으로 나눕니다: 하나는 짝수 변수를, 다른 하나는 홀수 변수를 포함합니다.
- (6): 이 단계에서는 이전 단계의 방정식을 다음 단계의 방정식에 대입합니다. 이 과정을 반복하면서, 각 부시스템은 더 독립적으로 분할됩니다. log2 L 단계 후에는 각 변수에 대한 단일 시스템을 얻게 되며, 이는 쉽게 해결할 수 있습니다.

위 알고리즘은 블록 대각선 시스템에 대한 PCR 방법을 구현한 것입니다. 각 단계에서, 시스템의 하부 대각 연산자와 오른쪽 항을 설정하고, 이를 업데이트하며, 각 단계마다 색인을 두 배로 증가시키는 과정을 포함합니다. 이러한 접근 방식은 시스템을 단순화하고, 더 쉽게 해결할 수 있는 형태로 만듭니다. 이 알고리즘은 특히 복잡한 시스템을 빠르고 효율적으로 처리하는 데 유용합니다.
Limitations of DeepPCR
DeepPCR은 특히 딥 러닝 모델 훈련과 같은 계산량이 큰 작업에 효과적인 솔루션 알고리즘입니다.
주요 장점:
- 효율적인 계산: DeepPCR은 전통적인 순방향 대체 방식과 달리 O(log2 L)의 순차적인 단계만 필요합니다. 이는 L에 대해 선형적으로 증가하는 O(L) 필요한 순방향 대체 방식보다 훨씬 효율적입니다.
- 병렬 처리 활용: DeepPCR은 각 단계에서 여러 행렬-행렬 곱셈을 동시에 수행하여 계산 속도를 높입니다. 이는 순방향 대체 방식의 단일 단계에서 하나의 단계 함수 fl(z)를 적용하는 것보다 훨씬 빠릅니다.
주요 한계:
- 하드웨어 제한: DeepPCR은 각 단계에서 많은 계산이 필요하기 때문에 효율적인 하드웨어가 필요합니다. 하드웨어 성능이 좋지 않으면 성능 저하가 발생할 수 있습니다.
- 뉴턴 반복: DeepPCR은 비선형 문제를 해결하기 위해 뉴턴 반복법을 사용합니다. 뉴턴 반복 횟수(cN)가 많으면 계산 시간이 증가하고 속도 향상 효과가 감소할 수 있습니다. 또한 뉴턴 반복법은 전역 수렴을 보장하지 못하므로 초기값 선택이 중요합니다.
- 메모리 사용: DeepPCR은 계산 과정에서 많은 임시 결과를 저장해야 합니다. 이로 인해 메모리 사용량이 증가하고 분산 훈련 환경에서 메모리 병목 현상이 발생할 수 있습니다.
추가 고려사항:
- DeepPCR의 효과는 모델 크기(L)가 클수록 더욱 분명해집니다.
- DeepPCR은 뉴턴 반복법을 사용하므로 초기값 선택이 중요합니다. 적절한 초기값을 선택하면 수렴 속도를 높이고 정확도를 향상할 수 있습니다.
- DeepPCR은 분산 훈련 환경에서 메모리 사용량과 통신 오버헤드가 증가할 수 있습니다.
Result
DeepPCR은 다양한 딥 러닝 시나리오에서 효과적인 속도 향상 솔루션임이 입증되었습니다. 특히, 멀티 레이어 퍼셉트론, 레즈넷 훈련, 확산 모델 이미지 생성 등 계산량이 큰 작업에 적합합니다. DeepPCR은 뉴턴 반복법을 사용하여 비선형 문제도 해결할 수 있으며, 속도와 정확도 간의 trade-off를 조정하여 사용자의 필요에 맞게 최적화할 수 있습니다.
DeepPCR 알고리즘은 딥 러닝 모델 훈련과 같은 계산량이 큰 작업을 효과적으로 가속화할 수 있는 솔루션입니다. 이 글에서는 다양한 시나리오에서 DeepPCR의 성능과 활용 가능성을 살펴보겠습니다.
1. 멀티 레이어 퍼셉트론 (MLP) 적용:
- DeepPCR은 특히 딥 러닝 모델 중에서도 멀티 레이어 퍼셉트론 (MLP) 구조에 효과적입니다.
- 실험 결과, 전방향 패스에서는 레이어 수가 7개 이상인 아키텍처에서, 후방향 패스에서는 레이어 수가 5개 이상인 아키텍처에서 DeepPCR이 속도 향상 효과를 보였습니다.
2. 레즈넷 (ResNet) 훈련 가속화:
- DeepPCR은 ResNet 아키텍처에서도 효과적입니다.
- 실험 결과, DeepPCR을 사용하여 ResNet 훈련 시 순차적 구현에 비해 최대 7배의 속도 향상을 달성했습니다. 또한, 훈련된 모델의 정확도는 DeepPCR과 순차적 구현 모두 동일한 수준을 유지했습니다.
3. Diffusion 모델 이미지 생성 가속화:
- DeepPCR은 이미지 생성을 위한 확산 모델의 노이즈 제거 절차에도 적용할 수 있습니다.
- 실험 결과, 잠재 확산 모델에서 DeepPCR을 사용하여 최대 11.2배의 속도 향상을 달성했습니다. 또한, 생성된 이미지의 정확도는 순차적 구현과 거의 동일했습니다.
4. 뉴턴 반복과 속도-정확도 trade-off:
- DeepPCR은 뉴턴 반복법을 사용하여 비선형 문제를 해결합니다.
- 뉴턴 반복 횟수를 줄임으로써 추가적인 속도 향상을 얻을 수 있지만, 정확도는 감소할 수 있습니다.
- 이를 통해 속도와 정확도 간의 trade-off를 조정할 수 있습니다.
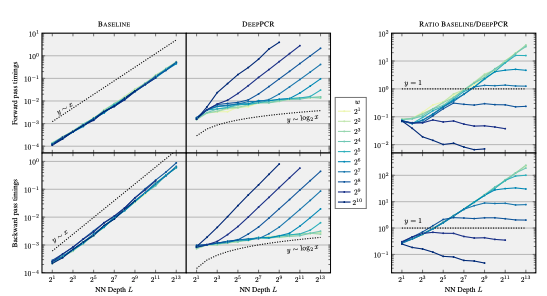
1. Speeding up forward and backward passes in MLPs: identifying performance regimes
DeepPCR은 딥 러닝 모델의 전방향 패스와 후방향 패스를 병렬 처리하여 속도를 향상시키는 알고리즘입니다. 전방향 패스는 입력 데이터를 모델에 통과시켜 출력 데이터를 생성하는 과정이고, 후방향 패스는 손실 함수의 기울기를 계산하는 과정입니다.
DeepPCR의 속도 향상 효과를 확인하기 위해, 랜덤하게 초기화된 다층 퍼셉트론 (MLP) 모델을 사용한 실험을 수행했습니다. 각 레이어의 은닉 유닛 수 (너비 w)는 일정하게 유지하고, 모델 깊이 (L)와 너비 (w)를 변경하면서 DeepPCR 속도 향상 효과를 관찰했습니다.
실험 결과, DeepPCR은 모델 깊이가 증가할수록 순차적 구현보다 훨씬 빠릅니다. 특히 전방향 패스에서 DeepPCR의 효과가 더 분명합니다. L ≈ 2 7 이상에서 속도 향상 효과가 크게 증가하여, 30배 이상의 속도 향상을 달성할 수 있습니다.
하지만 모델 너비가 증가하면 DeepPCR의 성능이 저하됩니다. 이는 DeepPCR의 병렬 처리 효과가 하드웨어 제한으로 인해 감소하기 때문입니다. 후방향 패스에서도 유사한 경향이 관찰됩니다.
결론적으로, DeepPCR은 특히 깊은 MLP 모델에서 속도 향상 효과가 뛰어납니다. 하지만 모델 너비가 커지면 성능 저하가 발생할 수 있습니다.
DeepPCR의 장점은 다음과 같습니다.
- 딥 러닝 모델의 전방향 패스와 후방향 패스를 병렬 처리하여 속도를 향상시킵니다.
- 기존 순차적 구현에 비해 훨씬 빠른 속도를 달성할 수 있습니다.
DeepPCR의 한계는 다음과 같습니다.
- 모델 너비가 증가하면 성능이 저하될 수 있습니다.
- 하드웨어 제한으로 인해 병렬 처리 효과가 감소할 수 있습니다.
DeepPCR은 딥 러닝 모델 훈련 속도 향상에 효과적인 솔루션이지만, 모델 크기와 하드웨어 조건에 따라 성능이 달라질 수 있다는 점을 고려해야 합니다.

왼쪽 열: 순차적 구현의 실행 시간 (녹색 곡선)
가운데 열: DeepPCR 구현의 실행 시간 (파란색 곡선)
오른쪽 열: 두 구현 시간의 비율 (빨간색 곡선, 1 이상은 DeepPCR가 빠름)
- 전방향 패스:
- DeepPCR는 MLP 깊이가 증가할수록 순차적 구현보다 훨씬 빠릅니다. (파란색 곡선이 녹색 곡선 아래 있음)
- 깊이가 L ≈ 2 7 이상에서 속도 향상 효과가 더욱 분명합니다. (빨간색 곡선이 1 위에 있음)
- 모델 너비 (w)가 증가하면 DeepPCR의 효과가 감소합니다. (빨간색 곡선이 아래로 내려옴)
- 후방향 패스:
- DeepPCR는 후방향 패스에서도 속도 향상 효과를 보여줍니다.
- 순차적 구현보다 빠르는 범위 (빨간색 곡선이 1 위)는 전방향 패스보다 조금 낮습니다 (L ≈ 2 5).
- 모델 너비 증가에 따른 성능 저하는 경향은 유사합니다.

레즈넷은 이미지 인식 분야에서 널리 사용되는 모델이며, 뛰어난 성능을 자랑하지만 훈련 시간이 오래 걸리는 단점이 있습니다.
그림 4는 DeepPCR이 레즈넷 훈련 속도를 어떻게 향상시키는지 보여줍니다. 세 개의 그래프로 구성되어 있으며:
- 왼쪽 그래프: 순차적 구현으로 전방향 패스를 수행하는 데 걸리는 시간
- 가운데 그래프: DeepPCR을 사용하여 전방향 패스를 수행하는 데 걸리는 시간
- 오른쪽 그래프: 두 구현 시간의 비율 (1 이상은 DeepPCR가 빠름)
주요 관찰:
- DeepPCR은 모델 깊이가 증가할수록 순차적 구현보다 훨씬 빠릅니다. (가운데 그래프 곡선이 왼쪽 그래프 곡선 아래 있음)
- 특히, 모델 깊이 L이 2^7 이상에서 속도 향상 효과가 뚜렷합니다. (오른쪽 그래프 곡선이 1 위에 있음)
- DeepPCR은 후방향 패스에도 비슷한 속도 향상 효과를 제공합니다. (L ≈ 2^5 이상에서 순차적 구현보다 빠름)
결론:
이 실험 결과는 DeepPCR이 레즈넷 모델 훈련 속도를 대幅 향상시킬 수 있음을 보여줍니다. 특히 깊은 모델에서 효과가 뛰어나며, 심지어 30배 이상의 속도 향상을 달성할 수 있습니다. 이는 딥 러닝 모델 개발자들에게 큰 이점이며, 더 빠르고 효율적인 훈련 과정을 실현할 수 있게 해줍니다.
2 Speeding up training of ResNets
딥 러닝 모델 훈련은 성능 향상과 더불어 늘 시간이 오래 걸리는 고민스러운 문제입니다. 이 글에서는 DeepPCR이라는 혁신적인 알고리즘을 레즈넷 모델에 적용하여 훈련 시간을 놀랍게 단축시킨 연구 내용을 소개합니다.
레즈넷의 속도 한계 극복:
- 기존 연구는 DeepPCR이 단일 패스에서 속도 개선 효과를 보여줬지만, 훈련 전체 과정에 적용 가능한지 의문이었습니다.
- 이번 연구는 딥 러닝 전문가들에게 널리 사용되는 레즈넷 모델을 대상으로 훈련 전체 과정에서 DeepPCR의 성능을 검증했습니다.
놀라운 결과:
- 실험 결과, DeepPCR은 훈련 과정 내내 모델 깊이에 관계없이 일관적인 속도 향상 효과를 보여주었습니다.
- 특히, 순차적 구현에 비해 전방향 패스에서 무려 7배 빠르게 작동했습니다. 이는 8시간 30분 걸리는 훈련 과정을 30분 만에 마무리할 수 있음을 의미합니다.
- 후방향 패스에서도 유사한 속도 향상 효과가 관찰되었습니다.
정확성 유지:
- 딥 러닝 애호가들이 궁금해 할 사항 중 하나는 속도 향상이 정확성 저하를 초래하지 않을까 하는 점입니다.
- 다행히도 연구 결과, DeepPCR은 훈련 과정 동안 손실 함수 감소 측면에서 기존 방식과 비슷한 성능을 보여주었습니다. 즉, 속도 향상과 동시에 정확성 또한 유지할 수 있었습니다.

DeepPCR이 레즈넷 훈련 과정에서 손실 함수 감소에 미치는 영향을 보여줍니다.
왼쪽 그래프는 순차적 구현을 사용하여 훈련한 모델의 손실 함수 감소 추세를 나타냅니다. 가운데 그래프는 DeepPCR을 사용하여 훈련한 모델의 손실 함수 감소 추세를 나타냅니다. 오른쪽 그래프는 두 구현의 차이를 나타냅니다.
두 구현의 손실 함수 감소 추세는 매우 유사합니다. 즉, DeepPCR은 손실 함수 감소에 있어 순차적 구현과 동일한 성능을 보입니다.
오른쪽 그래프를 보면, DeepPCR은 훈련 초기에는 순차적 구현보다 약간 더 느린 속도를 보입니다. 이는 DeepPCR이 초기에는 Newton 솔버를 사용하여 계산을 수행하기 때문입니다. 하지만 훈련이 진행됨에 따라 DeepPCR의 속도는 순차적 구현을 따라잡고, 이후에는 더 빠르게 됩니다.
이러한 결과는 DeepPCR이 훈련 과정 동안 손실 함수 감소에 영향을 미치지 않음을 보여줍니다. 즉, DeepPCR은 딥 러닝 모델의 성능을 유지하면서 훈련 시간을 단축시킬 수 있는 효과적인 솔루션임을 시사합니다.

- DeepPCR은 순차적 구현에 비해 라텐트 확산에서 이미지 생성 속도를 크게 향상시킬 수 있습니다.
- 속도 향상 효과는 라텐트 공간 차원과 흐림 단계에 따라 다릅니다.
- DeepPCR은 라텐트의 품질에 영향을 미치지 않습니다.
왼쪽 그래프는 순차적 구현과 DeepPCR 구현의 이미지 생성 시간을 나타냅니다. 중간 그래프는 두 구현의 속도 향상 분포를 나타냅니다. 오른쪽 그래프는 두 구현을 사용하여 복구된 라텐트의 Wasserstein-2 거리 차이를 나타냅니다.
왼쪽 그래프를 보면, DeepPCR은 순차적 구현에 비해 훨씬 빠르게 이미지를 생성할 수 있습니다. 특히, 라텐트 공간 차원 (latent dim)이 128이고 흐림 단계 (diffusion steps)가 1024인 경우, DeepPCR은 순차적 구현에 비해 약 13배 빠릅니다.
중간 그래프를 보면, 속도 향상은 라텐트 공간 차원과 흐림 단계에 따라 다릅니다. 라텐트 공간 차원이 높거나 흐림 단계가 많을수록 속도 향상 효과가 커집니다.
오른쪽 그래프를 보면, DeepPCR은 순차적 구현과 비교하여 라텐트의 품질에 영향을 미치지 않습니다. 즉, DeepPCR은 이미지 생성의 정확도를 유지하면서 속도를 향상시킬 수 있습니다.
DeepPCR 사용 시에도 순차적 구현 시와 실질적으로 동일한 손실 함수 감소 경향을 보인다며 품질 유지는 확인되었습니다. 더 자세한 증거로 부록 D에서 테스트 세트 정확도도 제시되어, 양쪽 모두 훈련 종료 시점에 약 94%의 정확도를 유지함을 보여줍니다.
3 Speeding up image generation in Diffusion Models
이 섹션에서는 DeepPCR의 유연성을 보여주며 순차 작업의 가속화에 대한 실험 결과를 소개합니다. DeepPCR은 이미지 생성을 가속화하는 데 사용되며, 잠재 공간 확산 모델에 적용되었습니다. 실험에서는 두 가지 주요 매개 변수인 잠재 공간의 크기와 덴오이징 단계 수에 따라 DeepPCR의 성능 변화를 측정하였습니다. DeepPCR은 순차 접근 방식에 비해 이미지 생성 속도를 크게 향상시켰으며, 특히 덴오이징 단계가 증가할 때 순차 접근 방식은 선형적으로 시간이 증가하는 반면 DeepPCR은 대부분 로그 형태로 성장합니다. 그러나 잠재 공간의 크기를 키울 때 일부 경우에는 성능 저하가 발생하며, 이는 하드웨어 제한과 관련이 있습니다.

DeepPCR이 순차적인 방법에 비해 이미지 생성 속도를 향상시킨다는 것입니다. 그림은 왼쪽 (CIFAR-10 데이터셋) 및 오른쪽 (CelebA 데이터셋)에 대한 결과를 별도로 보여주고 있으며, 두 데이터셋에서도 DeepPCR이 효과적임을 나타냅니다
기존 연구에서 손글씨 숫자 인식 데이터인 MNIST에서 인상적인 성능을 보였던 딥피시알(DeepPCR)이라는 기계 학습 알고리즘이 다양한 이미지 분야에서도 뛰어난 속도 향상을 달성했다. 이번 연구에서는 좀 더 복잡한 이미지 데이터인 CIFAR-10과 CelebA에 딥피시알을 적용하여 성능을 평가했다.
연구 결과, CIFAR-10과 CelebA에서도 각각 8배, 9배의 속도 향상을 기록하며 MNIST에서 보여준 성능과 유사한 수준을 유지했다. 이는 딥피시알이 다양한 이미지 데이터셋에 효과적으로 적용될 수 있음을 보여주는 중요한 결과이다.
물론, 모든 데이터셋에서 딥피시알의 성능이 항상 동일하게 우수한 것은 아니다. 연구 결과에 따르면 잠재 차원(latent dimension)이라는 특정한 매개변수가 커지면 딥피시알의 성능이 저하되는 경향이 나타났다. 하지만 이는 딥피시알의 한계라기보다는 데이터의 복잡성과 알고리즘의 적용 방식에 따른 특징이라고 볼 수 있다.
따라서 이번 연구는 딥피시알이 이미지 분야 속도 향상 측면에서 탁월한 성능을 보유하고 있으며 다양한 데이터셋에 적용될 수 있는 가능성을 제시한다. 또한, 딥피시알의 한계를 파악하고 개선 방안을 모색하는 데에도 중요한 시사점을 제공한다.
futuer study: 이 연구는 다른 이미지 데이터셋과 더 복잡한 알고리즘과의 비교를 통해 딥피시알의 성능을 더욱 심층적으로 분석할 수 있다. 또한, 딥피시알의 한계를 극복하고 성능을 개선하기 위한 노력도 필요하다. 이러한 연구를 통해 딥피시알은 이미지 분야 발전에 더욱 큰 기여를 할 수 있을 것으로 기대된다.
4 Accuracy/Speedup trade-off: analysis on Newton convergence
딥피시알(DeepPCR)이라는 기계 학습 알고리즘은 이미지 인식과 같은 복잡한 작업을 빠르게 수행하는 데 있어 큰 주목을 받고 있습니다. 하지만 어떤 마술에도 한계가 있는 것처럼, 딥피시알 역시 정확성과 속도 사이에서 딜레마에 직면합니다. 이 글에서는 딥피시알이 이 딜레마를 어떻게 해결하고 있는지, 특히 뉴턴 알고리즘이라는 기술이 어떤 역할을 하는지 살펴보겠습니다.
뉴턴 알고리즘이란?
뉴턴 알고리즘은 복잡한 방정식을 빠르게 푸는 강력한 방법입니다. 딥피시알은 이 알고리즘을 사용하여 이미지 인식 모델을 효율적으로 훈련합니다. 하지만 뉴턴 알고리즘은 완벽하지 않습니다. 어느 정도의 오차를 허용하면 빠르게 답을 구할 수 있지만, 오차를 줄이려면 더 많은 시간이 필요합니다.
뉴턴 알고리즘은 복잡한 방정식을 빠르게 푸는 강력한 방법입니다. 이 알고리즘은 함수의 그래프에서 점과 접선의 교점을 찾는 방식으로 작동합니다.
뉴턴 알고리즘의 이해
1. 함수 f(x)의 그래프에서 임의의 점 x0를 선택합니다.
2.x0에서 함수 f(x)의 접선의 방정식을 구합니다.
3. 접선의 방정식의 해 x1을 구합니다.
4. x1을 새로운 점 x0로 설정하고, 2~3번의 과정을 반복합니다.
이 과정을 반복하면 점 x0가 함수 f(x)의 근사해에 가까워집니다.
장점
일반적으로 매우 빠르게 수렴합니다.근사해의 정확도가 높습니다.
단점
함수 f(x)가 미분 가능해야 합니다.함수 f(x)의 그래프에서 접선이 존재해야 합니다.
딥피시알에서 뉴턴 알고리즘은 이미지 인식 모델의 파라미터를 최적화하는 데 사용됩니다. 딥피시알은 뉴턴 알고리즘의 오차 허용 수준을 조절하여 정확성과 속도 사이의 균형을 맞춥니다.
딥피시알은 어떻게 이 균형을 맞추나요?
딥피시알은 뉴턴 알고리즘의 오차 허용 수준을 조절하여 정확성과 속도 사이의 균형을 맞추고 있습니다. 연구 결과에 따르면, 적절한 오차 허용 수준을 설정하면 이미지 인식 모델의 정확성을 크게 저하시키지 않으면서 훈련 속도를 최대 14배까지 빨리 할 수 있다는 것이 확인되었습니다!

- 위 그림은 다층 퍼셉트론(MLP) 모델을 훈련할 때 필요한 뉴턴 알고리즘 반복 횟수를 나타냅니다. 흥미롭게도, 모델의 복잡성과 관계없이 반복 횟수는 대부분 6회 이하로 나타났습니다. 또한, 활성화 함수의 종류에 따라 반복 횟수가 달라지는데, 부드러운 시그모이드 함수보다 날카로운 렐루 함수가 더 많은 반복을 필요로 했습니다. 뉴턴 알고리즘을 사용하여 훈련된 모델과 기존 순차적 훈련 방법으로 훈련된 모델의 차이를 나타냅니다. 왼쪽 그림과 마찬가지로, 차이는 거의 미미하며 모델의 최종 성능에는 영향을 미치지 않습니다
- 레즈넷 모델 훈련에서 뉴턴 알고리즘 반복 횟수를 줄여도 성공적으로 훈련이 가능하다는 것을 보여줍니다. 이는 기존 연구 결과에 비해 추가적인 2배의 속도 향상을 의미합니다.
뉴턴 알고리즘을 사용하여 정확성과 속도 사이의 균형을 훌륭하게 유지하면서 이미지 인식 모델 훈련을 효율적으로 수행합니다. 이를 통해 기존 방법보다 훨씬 빠르고 정확한 이미지 인식 시스템을 만들 수 있게 됩니다. 향후 연구에서는 뉴턴 알고리즘의 정확성과 속도 균형을 더욱 개선하고 다양한 분야에 적용하는 데에 초점이 맞춰질 것으로 기대됩니다.
Conclusion, Limitations, and Future Work
뉴런 네트워크(NN)는 이미지 인식, 자연어 처리 등 다양한 분야에서 혁신을 이끌고 있지만, 훈련과 추론에 필요한 시간이 큰 고민거리로 떠오르고 있습니다. 이런 속도 문제를 극복하기 위한 방법이 있는데요, 딥피시알(DeepPCR)이 그 해결책 중 하나로 주목받고 있습니다.
딥피시알은 NN 작업의 속도를 빠르게 만드는 혁신적인 기술로, NN 연산을 특정한 방식으로 변경하여 병렬 처리를 가능하게 하고, 이를 활용하여 빠르게 문제를 해결합니다. 딥피시알은 다양한 NN 작업에서 훈련과 추론 속도를 최대 30배까지 빠르게 할 수 있는 능력을 지니고 있습니다.
DeepPCR의 장점은 다음과 같습니다.
- 다양한 NN 작업 가속화: 딥피시알은 다층 퍼셉트론(MLP)의 순방향/역방향 전달, 레즈넷 훈련, 이미지 생성과 같은 다양한 NN 작업을 효율적으로 가속화할 수 있습니다.
- 효과성과 유연성: 딥피시알은 특정 조건에서 큰 효과를 나타내며, 속도 향상, 정확성, 메모리 사용량 간의 균형을 조절할 수 있는 유연성을 제공합니다.
그러나, 딥피시알도 몇 가지 한계가 존재합니다.
- 메모리 제한: 딥피시알의 성능은 메모리 크기에 따라 영향을 받으며, 큰 메모리 또는 뛰어난 병렬 처리 능력을 요구할 수 있습니다.
- 뉴턴 솔버 의존성: 딥피시알은 뉴턴 솔버에 의존하므로, 특정 NN 모델에서 미세한 조정이 필요할 수 있습니다.
앞으로의 연구와 개발을 통해 딥피시알의 한계를 극복하고, 보다 다양한 NN 구조에서의 활용을 확대할 것으로 예상됩니다. 이 기술은 NN 분야의 속도 문제를 극복하고, 미래에는 더욱 복잡한 작업에 적용될 가능성을 가지고 있습니다. 딥피시알은 NN 분야의 미래를 밝게 비추는 기술 중 하나로 기대됩니다.
느낀점
DeepPCR은 애플이 혁신적인 AI 생태계로 진출하기 위한 신경망의 개선으로 보입니다.. 이 기술은 신경망의 연산 복잡도를 크게 감소시키면서도 성능을 유지하는 방법을 제시하여, 대규모 신경망 모델에서 훈련과 추론 속도를 혁신적으로 개선합니다. 이것은 인공지능 분야에서의 속도 문제를 해결하는 데 큰 영향을 미칠 것으로 기대됩니다. 😃

https://www.aitimes.com/news/articleView.html?idxno=155856
"온디바이스 AI 대결서 애플 'M3'가 엔비디아 'RTX4090' GPU 압도" - AI타임스
애플이 최근 자체 평가한 벤치마크에서 애플 ‘M3’ 프로세서의 성능이 엔비디아의 ‘RTX 4090’ GPU보다 앞섰다고 밝혔다. ‘온디바이스 AI’ 전략에 힘을 싣는 모습이다.애플인사이더는 13일(현지
www.aitimes.com
앞으로의 애플의 ML Reserch의 행보가 기대되는 논문이었고, M3 Chip 이 4090 보다 벤치마크가 뛰어나게 나왔다고 하는데 하드웨어와 소프트웨어를 결합한다면.. 애플 과연어디까지 다시 올를 수 있을지 기대가 됩니다.